Задание 4.81 - ГДЗ Математика 6 класс. Виленкин, Жохов. Учебник часть 2. Страница 22

Старая и новая редакции

Вернуться к содержанию учебника

4.78 4.79 4.80 4.81 4.82 4.83 4.84

Вопрос

№4.81 учебника 2021-2022 (стр. 22):

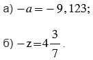
Найдите корень уравнения:

Подсказка

№4.81 учебника 2021-2022 (стр. 22):

Вспомните:

  1. Что называют корнем уравнения.
  2. Противоположные числа.

Ответ

№4.81 учебника 2021-2022 (стр. 22):


Вернуться к содержанию учебника