Задание П.81. Вопросы и задачи на повторение. Задачи - ГДЗ Математика 6 класс. Виленкин, Жохов. Учебник часть 2. Страница 134

Старая и новая редакции

Вернуться к содержанию учебника

Вопросы и задачи на повторение. Задачи. Страница 134

П.78 П.79 П.80 П.81 П.82 П.83 П.84

Вопрос

№П.81 учебника 2023-2026 (стр. 134):

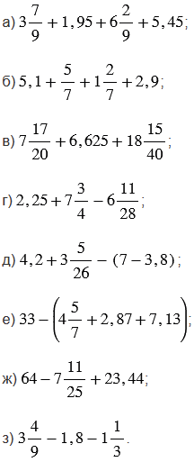
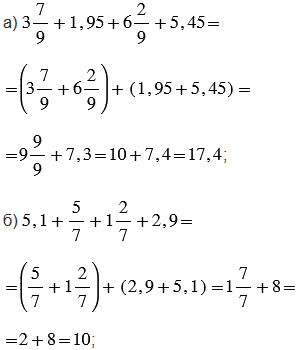
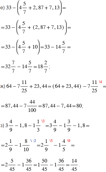
Выполните действия:

Подсказка

№П.81 учебника 2023-2026 (стр. 134):

Ответ

№П.81 учебника 2023-2026 (стр. 134):


Вернуться к содержанию учебника