Вернуться к содержанию учебника
№4.100 учебника 2023-2026 (стр. 25):
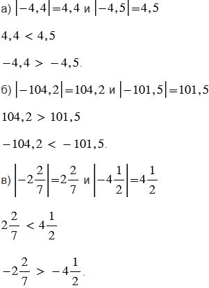
Какой знак, < или >, надо поставить вместо знака вопроса, чтобы получилось верное неравенство:

№4.100 учебника 2023-2026 (стр. 25):
Вспомните:
№4.100 учебника 2023-2026 (стр. 25):



Пояснения:
При сравнении чисел опираемся на следующие правила:
Вернуться к содержанию учебника