Вернуться к содержанию учебника
Проверьте себя
Проверочная работа №1
1. а) 2,321 : 2;
б) 23,23 : 23;
в) 23,2 : 10;
г) 232,1 : 100;
д) 0,0023 : 1000;
е) 342,1052 : 10 000.
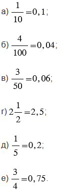
2. Представьте в вид десятичной дроби:

3. Выразите в тоннах:
32 765 кг; 12 500 кг; 100 000 кг; 857 кг; 12 кг; 2 кг.
Проверочная работа №2
1. Найдите:
а) частное, если делимое равно 5,02, а делитель равен 2;
б) произведение 3,4 и 30;
в) неизвестный множитель, если произведение равно 14, а известный множитель равен 3,5;
г) неизвестный делитель, если делимое равно 37,8, а частное равно 9.
2. Сумма каких шести одинаковых слагаемых равна 15,6?
3. Найдите
, если:
а) 3 •
= 6,3;
б)
• 13 = 97,5;
в) 130,5 : (5
+ 1,4) = 45.
4. Поезд проходит расстояние 230,4 км за 4 ч.
а) Сколько километров он проходит в час?
б) С какой скоростью должен ехать поезд, чтобы преодолеть это же расстояние за 5 ч?
Вспомните:
стр. 128 - 129 учебника 2023-2026:
Проверочная работа №1
1. а) 2,321 : 2 = 1,1605
| - | 2 | 3 | 2 | 1 | 2 | ||||||||||||||
| 2 | 1 | 1 | 6 | 0 | 5 | ||||||||||||||
| - | 3 | ||||||||||||||||||
| 2 | |||||||||||||||||||
| - | 1 | 2 | |||||||||||||||||
| 1 | 2 | ||||||||||||||||||
| - | 1 | 0 | |||||||||||||||||
| 1 | 0 | ||||||||||||||||||
| 0 |
б) 23,23 : 23 = 1,01
| - | 2 | 3 | 2 | 3 | 2 | 3 | |||||||||||
| 2 | 3 | 1 | 0 | 1 | |||||||||||||
| - | 2 | 3 | |||||||||||||||
| 2 | 3 | ||||||||||||||||
| 0 |
в) 23,2 : 10 = 2,32;
г) 232,1 : 100 = 2,321;
д) 0,0023 : 1000 = 0,0000023;
е) 342,1052 : 10 000 = 0,03421052.
2. Представьте в вид десятичной дроби:

| - | 3 | 4 | ||||||||||||
| 2 | 8 | 0 | , | 7 | 5 | |||||||||
| - | 2 | 0 | ||||||||||||
| 2 | 0 | |||||||||||||
| 0 |
3. 32 765 кг = 32 765 : 1000 = 32,765 т;
12 500 кг = 12 500 : 1000 =
= 12,500 т = 12,5 т;
100 000 кг = 100 000 : 1000 = 100 т;
857 кг = 857 : 1000 = 0,857 т;
12 кг = 12 : 1000 = 0,012;
2 кг = 2 : 1000 = 0,002 т.
Пояснения:
Чтобы разделить десятичную дробь на натуральное число, надо:
1) разделить дробь на это число, не обращая внимания на запятую;
2) поставить в частном запятую, когда кончится деление целой части.
Чтобы разделить десятичную дробь на 10, 100, 1 000 и т. д., надо в этой дроби перенести запятую влево соответственно на 1, 2, 3 и т. д. цифры.
Если целая часть меньше делителя, то частное начинается с нуля целых. При этом помним, любое натуральное число можно представить в виде десятичной дроби, поставив запятую после данного числа и записав сколько угодно нулей после нее.
Чтобы преобразовать обыкновенную дробь в десятичную, можно числитель дроби разделить на ее знаменатель.
1 кг = 1000 г, поэтому, чтобы перевести килограммы в тонны, нужно количество килограммов разделить на 1000.
стр. 128 - 129 учебника 2023-2026:
Проверочная работа №2
1. а) 5,02 : 2 = 2,51
| - | 5 | 0 | 2 | 2 | ||||||||||||
| 4 | 2 | 5 | 1 | |||||||||||||
| - | 1 | 0 | ||||||||||||||
| 1 | 0 | |||||||||||||||
| - | 2 | |||||||||||||||
| 2 | ||||||||||||||||
| 0 |
б) 3,4 • 30 = 102
| × | 3 | 4 | |
| 3 | 0 | ||
| 1 | 0 | 2 | 0 |
в) 14 : 3,5 = 140 : 35 = 4;
г) 37,8 : 9 = 4,2
| - | 3 | 7 | 8 | 9 | |||||||||||
| 3 | 6 | 4 | 2 | ||||||||||||
| - | 1 | 8 | |||||||||||||
| 1 | 8 | ||||||||||||||
| 0 |
2. 15,6 : 6 = 2,6
| - | 1 | 5 | 6 | 6 | |||||||||||
| 1 | 2 | 2 | 6 | ||||||||||||
| - | 3 | 6 | |||||||||||||
| 3 | 6 | ||||||||||||||
| 0 |
Ответ: сумма шести одинаковых слагаемых 2,6 равна 15,6.
3. а) 3 •
= 6,3
= 6,3 : 3
= 2,1
Ответ:
= 2,1.
б)
• 13 = 97,5
= 97,5 : 13
= 7,5
| - | 9 | 7 | 5 | 1 | 3 | ||||||||||
| 9 | 1 | 7 | 5 | ||||||||||||
| - | 6 | 5 | |||||||||||||
| 6 | 5 | ||||||||||||||
| 0 |
Ответ:
= 7,5.
в) 130,5 : (5
+ 1,4) = 45
5
+ 1,4 = 130,5 : 45
5
+ 1,4 = 2,9
5
= 2,9 - 1,4
5
= 1,5
= 1,5 : 5
= 0,3
| - | 1 | 3 | 0 | 5 | 4 | 5 | ||||||||||
| 9 | 0 | 2 | 9 | |||||||||||||
| - | 4 | 0 | 5 | |||||||||||||
| 4 | 0 | 5 | ||||||||||||||
| 0 |
Ответ:
= 0,3.
4.
| Расстояние | Время | Скорость |
| 230,4 км | 4 ч | ? км/ч |
| 230,4 км | 5 ч | ? км/ч |
а) а) 230,4 : 4 = 57,6 (км/ч)
| - | 2 | 3 | 0 | 4 | 4 | ||||||||||||
| 2 | 0 | 5 | 7 | 6 | |||||||||||||
| - | 3 | 0 | |||||||||||||||
| 2 | 8 | ||||||||||||||||
| - | 2 | 4 | |||||||||||||||
| 2 | 4 | ||||||||||||||||
| 0 |
б) 230,4 : 5 = 46,08 (км/ч)
| - | 2 | 3 | 0 | 4 | 5 | |||||||||||||
| 2 | 0 | 4 | 6 | 0 | 8 | |||||||||||||
| - | 3 | 0 | ||||||||||||||||
| 3 | 0 | |||||||||||||||||
| - | 4 | 0 | ||||||||||||||||
| 4 | 0 | |||||||||||||||||
| 0 |
Ответ: а) поезд проходит в час 57,6 км/ч; б) поезд должен ехать со скоростью 46,08 км/ч.
Пояснения:
Чтобы разделить десятичную дробь на натуральное число, надо:
1) разделить дробь на это число, не обращая внимания на запятую;
2) поставить в частном запятую, когда кончится деление целой части.
Если целая часть меньше делителя, то частное начинается с нуля целых. При этом помним, любое натуральное число можно представить в виде десятичной дроби, поставив запятую после данного числа и записав сколько угодно нулей после нее.
Чтобы умножить десятичную дробь на натуральное число, надо:
1) умножить их как натуральные числа, не обращая внимание на запятую;
2) в полученном произведении отделить запятой справа столько цифр, сколько их стоит после запятой у умножаемой дроби.
Чтобы найти неизвестный множитель, нужно произведение разделить на известный множитель.
Чтобы найти неизвестный делитель, нужно делимое разделить на частное.
Чтобы найти неизвестное слагаемое, нужно из суммы вычесть известное слагаемое.
Чтобы найти скорость движения, нужно расстояние разделить на время.
Вернуться к содержанию учебника