Вернуться к содержанию учебника
№5.510 учебника 2023-2026 (стр. 81):
В первом магазине цена коробки зефира в шоколаде 187 р., а цена во втором магазине составляет
от цены в первом магазине. На сколько рублей зефир во втором магазине дешевле?
№5.510 учебника 2023-2026 (стр. 81):
Вспомните:
№5.510 учебника 2023-2026 (стр. 81):

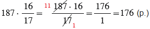
1)
- цена коробки зефира во втором магазине.
2) 187 - 176 = 11 (р.)
Ответ: на 11 р. зефир во втором магазине дешевле.
Пояснения:
Чтобы найти дробь от числа (десятичную или обыкновенную), нужно умножить число на эту дробь.
Чтобы умножить обыкновенную дробь на натуральное число, нужно ее числитель умножить на это число, а знаменатель оставить без изменения.
Чтобы вычисления были проще, не надо перемножать сразу, лучше сделать это после сокращения. Сократить дробь - значит, разделить ее числитель и знаменатель на их наибольший общий делитель. Также помним, дробь, у которой в знаменателе стоит единица, равна своему числителю.
В первом магазине цена коробки зефира в шоколаде 187 р., а цена во втором магазине составляет
от цены в первом магазине, значит, цена коробки зефира во втором магазине:

Чтобы узнать, на сколько одно число больше или меньше другого, нужно из большего числа вычесть меньшее.
В первом магазине цена коробки зефира в шоколаде 187 р., а во втором магазине - 176 р., значит, зефир во втором магазине дешевле на:
187 - 176 = 11 (р.).
Вернуться к содержанию учебника