Вернуться к содержанию учебника
№3.161 учебника 2023-2026 (стр. 148):
№3.161 учебника 2021-2022 (стр. 148):
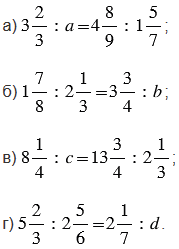
Решите уравнение:

№3.161 учебника 2023-2026 (стр. 148):
№3.161 учебника 2021-2022 (стр. 148):
Вспомните:
№3.161 учебника 2023-2026 (стр. 148):
№3.161 учебника 2021-2022 (стр. 148):






Пояснения:
Пропорция - это равенство двух отношений.
В пропорции
числа
и
называют крайними членами, а числа
и
- средними членами пропорции.
Чтобы решить данные уравнения, то есть найти неизвестный член пропорции, используем основное свойство пропорции: произведение крайних членов пропорции равно произведению ее средних членов:
.
А затем находим неизвестный множитель по следующему правилу: чтобы найти неизвестный множитель, нужно произведение разделить на известный множитель.
Произведением двух дробей является дробь, числитель которой равен произведению числителей, а знаменатель - произведению знаменателей.
Чтобы выполнить умножение смешанных чисел, нужно записать эти числа в виде неправильных дробей, а затем воспользоваться правилом умножения дробей. Чтобы преобразовать смешанное число в неправильную дробь, надо целую часть числа умножить на знаменатель дробной части и к полученному произведению прибавить числитель дробной части; эту сумму записать как числитель неправильной дроби, а в ее знаменатель записать знаменатель дробной части смешанного числа.
Чтобы найти частное двух дробей, надо делимое умножить на число, обратное делителю. При этом помним, обратным числу
является число
.
При выполнении умножения дробей, чтобы вычисления были проще, не надо перемножать сразу, лучше сделать это после сокращения. Сократить дробь - значит, разделить ее числитель и знаменатель на одно и то же число (наибольший общий делитель).
Также помним, что черту дроби можно заменить делением (числитель разделить на знаменатель).
Вернуться к содержанию учебника