Вернуться к содержанию учебника
Выберите год учебника
№2.496 учебника 2023-2026 (стр. 109):
Никита прошел на лыжах 400 м, что составило
всей дистанции. Чему равна длина дистанции?
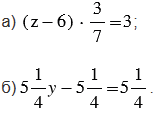
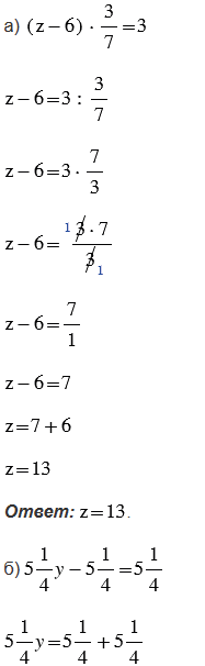
№2.496 учебника 2021-2022 (стр. 104):
Решите уравнение:

№2.496 учебника 2023-2026 (стр. 109):
Вспомните:
№2.496 учебника 2021-2022 (стр. 104):
Вспомните:
№2.496 учебника 2023-2026 (стр. 109):

Пояснения:
Чтобы найти число по значению, соответствующему данной дроби, надо это значение разделить на дробь.
Чтобы найти частное двух дробей, надо делимое умножить на число, обратное делителю.
Взаимно обратными числами называют два числа, произведение которых равно 1.
Чтобы умножить обыкновенную дробь на натуральное число, нужно ее числитель умножить на это число, а знаменатель оставить без изменения.
№2.496 учебника 2021-2022 (стр. 104):








Вернуться к содержанию учебника