Вернуться к содержанию учебника
Выберите год учебника
№2.484 учебника 2023-2024 (стр. 108):
Три бригады посадили ели для нового леса. Первая бригада посадила 35% всех имевшихся саженцев, вторая - 60 % оставшихся саженцев, а третья - остальные 520 саженцев. Сколько всего саженцев посадили?
№2.484 учебника 2021-2022 (стр. 103):
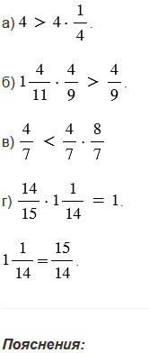
Не выполняя умножения, сравните:

№2.484 учебника 2023-2024 (стр. 108):
№2.484 учебника 2021-2022 (стр. 103):
Вспомните:
№2.484 учебника 2023-2024 (стр. 108):
1) 100%-35%=65%-всех саженцев посадили вторая и третья бригада вместе (остаток).
60%=60:100=0,6.
2) 65%•0,6=39%- всех саженцев посадила вторая бригада.
| × | 6 | 5 |
| 0 | 6 | |
| 3 | 9 | 0 |
3) 65%-39%=26% - всех саженцев посадила третья бригада.
26%=26:100=0,26;
4) 520:0,26=52000:26=2000 (саж.) - посадили всего.
Ответ: всего посадили 2000 саженцев.
Пояснения:
По условию первая бригада посадила 35% всех имевшихся саженцев. Нам известно, что величина, от которой вычисляются проценты составляет 100 своих сотых долей, т.е. 100 %, тогда вторая и третья бригада посадили 100%-35%=65%-всех саженцев.
То есть остаток составил 65%. По условию вторая бригада посадила 60 % оставшихся саженцев. Переведем данное значение в десятичную дробь, для этого разделим число, стоящее перед знаком процентов на 100, получаем, что 60%=60:100=0,6. То есть нам надо найти 0,6 от 65%, а чтобы найти дробь от числа, нужно умножить число на эту дробь, получаем, что вторая бригада посадила 65%•0,6=39%- всех саженцев.
Так как мы нашли, что вторая и третья бригада посадили 100%-35%=65%-всех саженцев, при чем 39% из них посадила вторая бригада, то третья бригада посадила 65%-39%=26% - всех саженцев. Переведем данное значение в десятичную дробь, для этого разделим число, стоящее перед знаком процентов на 100, получаем, что 26%=26:100=0,26.
По условию третья бригада посадила 520 саженцев. То есть 520 саженцев составляют 0,26 всех саженцев. Чтобы найти число по значению, соответствующему данной дроби, надо это значение разделить на дробь, тогда получаем, что всего посадили 520:0,26=52000:26=2000 саженцев.
№2.484 учебника 2021-2022 (стр. 103):



Вернуться к содержанию учебника