Вернуться к содержанию учебника
Выберите год учебника
№2.168 учебника 2023-2024 (стр. 67):
Вычислите сначала в обыкновенных дробях, а потом в десятичных:

№2.168 учебника 2021-2022 (стр. 60):
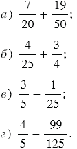
Найдите сумму:

№2.168 учебника 2023-2024 (стр. 67):
Вспомните:
№2.168 учебника 2021-2022 (стр. 60):
Вспомните:
№2.168 учебника 2023-2024 (стр. 67):

Для того чтобы представить десятичную дробь в виде обыкновенной, нужно в числитель дроби записать число, стоящие после запятой, а в знаменатель 1 и столько нулей, сколько знаков после запятой.
Чтобы преобразовать обыкновенную дробь в десятичную, используем основное свойство дроби, для этого умножаем числитель и знаменатель на такое число (дополнительный множитель), чтобы в знаменателе получилось, 10, 100 или 1000.
Чтобы сравнить (сложить, вычесть) дроби с разными знаменателями, надо:
1) привести дроби к наименьшему общему знаменателю;
2) сравнить (сложить, вычесть) полученные дроби.
Наименьший общий знаменатель равен наименьшему общему кратному знаменателей данных дробей.
Наименьшим общим кратным (НОК) нескольких натуральных чисел называют наименьшее натуральное число, которое делится на каждое из этих чисел.
Сокращение дроби - это деление числителя и знаменателя данной дроби на их общий делитель, отличный от 1.
Чтобы сложить или вычесть десятичные дроби, нужно записать числа столбиком так, чтобы запятая стояла под запятой. Затем выполнить действие не обращая внимание на запятую, а в ответе поставить запятую под запятой.
№2.168 учебника 2021-2022 (стр. 60):





Вернуться к содержанию учебника