Страница 67 - ГДЗ Математика 4 класс. Волкова, Моро. Рабочая тетрадь часть 1

Старая и новая редакции

Вернуться к содержанию рабочей тетради

64 65 66 67 68 69 70

Вопрос

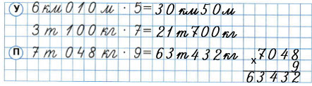
5. Рассмотри, как выполнены вычисления, и закончи записи.

Подсказка

Повтори единицы длины - дециметр и сантиметр и единицы массы - тонну и центнер.

Ответ

Решение


Пояснение

1 дм = 10 см

1 т = 10 ц

Вопрос

6. Вычисли.

Подсказка

Повтори единицы длины - километр и метр и единицы массы - тонну и килограмм.

Ответ

Решение


Пояснение

1 км = 1000 м

1 т = 1000 кг

Вопрос

7. В кусе было 27 м ткани. Для изготовления одного большого зонта расходуют 2 м 60 см ткани. Сколько метров ткани осталось в этом кусе после того, как изготовили 7 таких зонтов?

Подсказка

Повтори единицы длины - сантиметр и метр, а также алгоритм письменного умножения трёхзначных чисел на однозначное и алгоритм письменного вычитания многозначных чисел.

Ответ

Решение

1) 2 м 60 см • 7 = 18 м 20 см

  × 2 6 0
      7
  1 8 2 0

2) 27 м -  18 м 20 см = 8 м 80 см

     
- 2 7 0 0
1 8 2 0
    8 8 0

Ответ: 8 м 80 см


Пояснение

1 м = 100 см

Вопрос

8.

Подсказка

Повтори случаи внетабличного умножения и деления.

Ответ

Решение


Пояснение

6 • 8 = 48

48 : 16 = 3

3 • 25 = 3 • 20 + 3 • 5 = 75

75 + 25 = 100

100 : 25 = 4

4 • 14 = 4 • 10 + 4 • 4 = 56

Вернуться к содержанию рабочей тетради