Вернуться к содержанию учебника
Выберите год учебника
№530 учебника 2023-2026 (стр. 124):
Представьте число в виде суммы степеней числа 2:
а) 6;
б) 18;
в) 42.
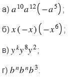
№530 учебника 2013-2022 (стр. 123):
Упростите выражение:

№530 учебника 2023-2026 (стр. 124):
Вспомните степень с натуральным показателем.
№530 учебника 2013-2022 (стр. 123):
Вспомните:
Вернуться к содержанию учебника