Вернуться к содержанию учебника
Выберите год учебника
№526 учебника 2023-2026 (стр. 124):
Верно ли равенство:
а) 32 + 42 + 52 = 62;
б) (1 + 2 + 3 + 4)2 = 13 + 23 + 33 + 43?
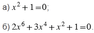
№526 учебника 2013-2022 (стр. 122):
Докажите, что не имеет корней уравнение:

№526 учебника 2023-2026 (стр. 124):
Вспомните степень с натуральным показателем.
№526 учебника 2013-2022 (стр. 122):
Вспомните:
Вернуться к содержанию учебника