Вернуться к содержанию учебника
Выберите год учебника
№533 учебника 2023-2026 (стр. 124):
Найдите значение выражения (-1)n при n, равном:
а) 6;
б) 11;
в) 23;
г) 70.
№533 учебника 2013-2022 (стр. 123):
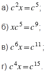
Замените
степенью с основанием
так, чтобы полученное равенство было тождеством:

№533 учебника 2023-2026 (стр. 124):
Вспомните:
№533 учебника 2013-2022 (стр. 123):
Вспомните:
№533 учебника 2023-2026 (стр. 124):

Пояснения:
№533 учебника 2013-2022 (стр. 123):

Пояснения:
При умножении степеней с одинаковыми основаниями основание оставляют прежним, а показатели степеней складывают.
Вернуться к содержанию учебника