Вернуться к содержанию учебника
Выберите год учебника
№481 учебника 2023-2026 (стр. 112):
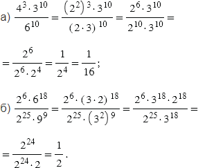
Найдите значение выражения:

№481 учебника 2013-2022 (стр. 112):
На одном складе было 185 т угля, а на другом - 237 т. Первый склад стал отпускать ежедневно по 15 т угля, а второй - по 18 т. Через сколько дней на втором складе угля будет в полтора раза больше, чем на первом?
№481 учебника 2023-2026 (стр. 112):
№481 учебника 2013-2022 (стр. 112):
№481 учебника 2023-2026 (стр. 112):

Пояснения:
При возведении степени в степень основание оставляют тем же, а показатели перемножают.
При умножении степеней с одинаковыми основаниями основание оставляют прежним, а показатели степеней складывают.
Также учитываем то, что черту дроби можно заменить делением (числитель разделить на знаменатель), а при делении степеней с одинаковыми основаниями основание оставляют прежним, а из показателя степени делимого вычитают показатель степени делителя.
№481 учебника 2013-2022 (стр. 112):




Вернуться к содержанию учебника