Вернуться к содержанию учебника
Выберите год учебника
№451 учебника 2023-2026 (стр. 108):
Представьте в виде степени произведение:

№451 учебника 2013-2022 (стр. 106):
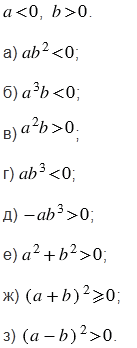
Известно, что
< 0 и
> 0. Сравните с нулем значение выражения:

№451 учебника 2023-2026 (стр. 108):
Вспомните:
№451 учебника 2013-2022 (стр. 106):
№451 учебника 2023-2026 (стр. 108):

№451 учебника 2013-2022 (стр. 106):

Пояснения:
Вернуться к содержанию учебника