Вернуться к содержанию учебника
Выберите год учебника
№452 учебника 2023-2026 (стр. 108):
Найдите значение выражения:
а) 24 • 54;
б) 43 • 253;
в) 0,2515 • 415;

е) 0,26 • 507.
№452 учебника 2013-2022 (стр. 106):
Какой цифрой может оканчиваться:
а) квадрат натурального числа;
б) четвертая степень натурального числа?
№452 учебника 2023-2026 (стр. 108):
Вспомните:
№452 учебника 2013-2022 (стр. 106):
Вспомните:
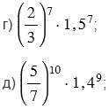
№452 учебника 2023-2026 (стр. 108):
а) 24 • 54 = (2 • 5)4 = 104 = 10 000;
б) 43 • 253 = (4 • 25)3 = 1003 = 1 000 000;
в) 0,2515 • 415 = (0,25 • 4)15 = 115 = 1;

е) 0,26 • 507 = 0,26 • 506 • 50 =
= (0,2 • 50)6 • 50 = 106 • 50 =
= 1 000 000 • 50 = 50 000 000.
Пояснения:
Если показатели степени у множителей одинаковые, то можно сначала выполнить умножение оснований, а затем полученное произведение возвести в данную степень.
№452 учебника 2013-2022 (стр. 106):
а) 02 = 0; 12 = 1;
22 = 4; 32 = 9;
42 = 16; 52 = 25;
62 = 36; 72 = 49;
82 = 64; 92 = 81;
Ответ: квадрат натурального числа может оканчиваться цифрами: 0; 1; 4; 5; 6; 9.
б) 
02 = 0; 12 = 1;
42 = 16; 52 = 25;
62 = 36; 92 = 81.
Ответ: четвертая степень натурального числа может оканчиваться цифрами: 0; 1; 5; 6.
Пояснения:
а) Чтобы узнать, какой цифрой может оканчиваться квадрат натурального числа, нужно возвести все цифры в квадрат и посмотреть, чем оканчиваются полученные числа.
б) Чтобы узнать, какой цифрой оканчивается четвертая степень числа, не нужно возводить все цифры в четвертую степень, достаточно возвести в квадрат цифры, которыми может оканчиваться вторая степень натурального числа, так как
, и посмотреть, чем оканчиваются полученные числа.
Вернуться к содержанию учебника