Задание П.73. Вопросы и задачи на повторение. Задачи - ГДЗ Математика 6 класс. Виленкин, Жохов. Учебник часть 2. Страница 132

Старая и новая редакции

Вернуться к содержанию учебника

Вопросы и задачи на повторение. Задачи. Страница 132

П.70 П.71 П.72 П.73 П.74 П.75 П.76

Вопрос

№П.73 учебника 2021-2022 (стр. 132):

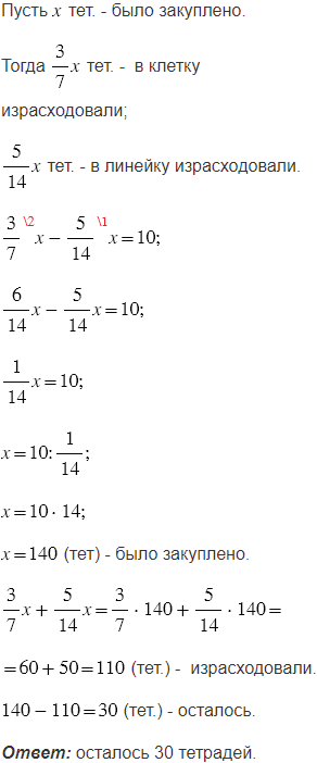
В начале года для класса были закуплены тетради в клетку и в линейку. К концу года количество израсходованных тетрадей в клетку составило  всех закупленных тетрадей, а количество тетрадей в линейку -  всех тетрадей. Сколько тетрадей осталось, если тетрадей в клетку было израсходовано на 10 больше, чем тетрадей в линейку?

Подсказка

Ответ

№П.73 учебника 2021-2022 (стр. 132):



Вернуться к содержанию учебника