Вернуться к содержанию учебника
№5.114 учебника 2023-2026 (стр. 93):
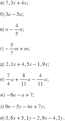
Приведите подобные слагаемые:

№5.114 учебника 2023-2026 (стр. 93):
№5.114 учебника 2023-2026 (стр. 93):

Пояснения:
Подобные слагаемые - это слагаемые, которые имеют одинаковую буквенную часть, т.е. подобные слагаемые могут отличаться только коэффициентами. Чтобы сложить (или привести) подобные слагаемые, надо сложить их коэффициенты и полученный результат умножить на общую буквенную часть.
Вернуться к содержанию учебника