Вернуться к содержанию учебника
Выберите год учебника
№6.339 учебника 2023-2024 (стр. 138):
Найдите значение выражения:
а) (143,65 - 40,7) : 2,9 - 17,75;
б) 8,74 : (2,43 + 2,17) - 0,475;
в) (21,2544 : 0,9 + 1,02 • 3,2) : 5,6;
г) 4,36 : (3,15 + 2,3) + 0,792 - 0,78;
д) (3,91 : 2,3 • 5,4 - 4,03) • 2,4;
е) 6,93 : (0,028 + 0,36 • 4,2) - 3,5.
№6.339 учебника 2021-2022 (стр. 122):
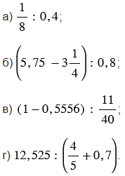
Превратите обыкновенную дробь в десятичную и вычислите значение выражения:

№6.339 учебника 2023-2024 (стр. 138):
Вспомните:
№6.339 учебника 2021-2022 (стр. 122):
Вспомните:
№6.339 учебника 2023-2024 (стр. 138):

|
|
||||||||||||||||||||||||||||||||||||||||||||||||||||||||||||||||||||||||||||||||||||||||||||||||||||||||||||||||
|

|
|
||||||||||||||||||||||||||||||||||||||||||||||||||||||||||||
|

|
|
||||||||||||||||||||||||||||||||||||||||||||||||||||||||||||||||||||||||||||||||||||||||||||||||||||||||||||||||||||||||||||||||||||||||||||||||||||||||||||||||||||||||||||||||||||||||||||
|
|||||||||||||||||||||||||||||||||||||||||||||||||||||||||||||||||||||||||||||||||||||||||||||||||||||||||||||||||||||||||||||||||||||||||||||||||||||||||||||||||||||||||||||||||||||||||||||
|
|||||||||||||||||||||||||||||||||||||||||||||||||||||||||||||||||||||||||||||||||||||||||||||||||||||||||||||||||||||||||||||||||||||||||||||||||||||||||||||||||||||||||||||||||||||||||||||

|
|
|||||||||||||||||||||||||||||||||||||||||||||||||
|
|

|
|
||||||||||||||||||||||||||||||||||||||||||||||||||||||||||||||||||
|
|

|
|
||||||||||||||||||||||||||||||||||||||||||||||||||||||||||||||
|
|
Пояснения:
Действиями первой ступени называют сложение и вычитание чисел, а действиями второй ступени - умножение и деление чисел.
При вычислении значений выражений порядок выполнения действий определяют следующие правила:
1. Если выражение содержит только действия одной ступени и в нем нет скобок, то действия выполняют по порядку слева направо.
2. Если в выражении нет скобок, то сначала выполняют действия второй ступени, потом - действия первой ступени.
3. Если в выражении есть скобки, то сначала выполняют действия в скобках (учитывая правила 1 и 2).
Красные числа, стоящие сверху над действиями, показывают в каком порядке нужно выполнять действия.
Правила вычислений с десятичными дробями смотрите в подсказке.
№6.339 учебника 2021-2022 (стр. 122):




Вернуться к содержанию учебника