Вернуться к содержанию учебника
№6.59 учебника 2023-2026 (стр. 101):
№6.59 учебника 2021-2022 (стр. 85):
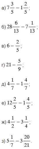
Найдите разность:

№6.59 учебника 2023-2026 (стр. 101):
№6.59 учебника 2021-2022 (стр. 85):
Вспомните:
№6.59 учебника 2023-2026 (стр. 101):
№6.59 учебника 2021-2022 (стр. 85):

Пояснения:
При выполнении вычислений помним следующие правила:
1) чтобы найти разность двух дробей с одинаковыми знаменателями, нужно из числителя уменьшаемого вычесть числитель вычитаемого, а знаменатель оставить прежним;
2) чтобы вычесть две дроби с разными знаменателями, надо: привести данные дроби к наименьшему общему знаменателю (наименьшему общему кратному знаменателей складываемых дробей); применить правило вычитания дробей с одинаковыми знаменателями (в решении красным цветом выделены дополнительные множители);
3) чтобы выполнить вычитание обыкновенной дроби из натурального числа, нужно натуральное число уменьшить на единицу и представить эту единицу в виде неправильной дроби с одинаковыми числителем и знаменателем, равными знаменателю вычитаемой дроби, затем выполнить вычитание дробей;
4) чтобы выполнить вычитание смешанных чисел, нужно: привести дробные части этих чисел к наименьшему общему знаменателю; если дробная часть уменьшаемого меньше дробной части вычитаемого, превратить ее в неправильную дробь, уменьшив на единицу целую часть; отдельно выполнить вычитание целых частей и отдельно дробных частей.
Вернуться к содержанию учебника