Вернуться к содержанию учебника
Выберите год учебника
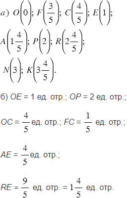
№5.287 учебника 2023-2026 (стр. 50):
а) Укажите координаты точек на рисунке 5.49.
б) Найдите расстояние (в единичных отрезках) между точками: О и Е; О и Р; О и С; F и C; A и E; R и E.
в) Координата какой точки больше: C или F; С или Е; R или Р; N или А; А или K?

№5.287 учебника 2021-2022 (стр. 50):
а) Укажите координаты точек на рисунке 46.
б) Найдите расстояние (в единичных отрезках) между точками: О и Е; О и Р; О и С; F и C; A и E; R и E.
в) Координата какой точки больше: C или F; С или Е; R или Р; N или А; А или K?

Рис. 46
№5.287 учебника 2023-2026 (стр. 50):
№5.287 учебника 2021-2022 (стр. 50):
Вспомните:
Вернуться к содержанию учебника