Вернуться к содержанию учебника
Выберите год учебника
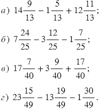
№5.282 учебника 2023-2026 (стр. 49):
Вычислите значение выражения:

№5.282 учебника 2021-2022 (стр. 49):
Вычислите значение выражения:

№5.282 учебника 2023-2026 (стр. 49):
№5.282 учебника 2021-2022 (стр. 49):
№5.282 учебника 2023-2026 (стр. 49):

Пояснения:
При сложении (вычитании) смешанных чисел нужно целые части сложить (вычесть) отдельно и дробные части тоже отдельно.
Если при сложении дробных частей получилась неправильная дробь, выделить целую часть из этой дроби и прибавить ее к полученной целой части. Чтобы неправильную дробь, числитель которой нацело не делится на знаменатель, преобразовать в смешанное число, надо числитель разделить на знаменатель; полученное неполное частное записать как целую часть смешанного числа, а остаток - как числитель его дробной части.
Если дробная часть уменьшаемого меньше дробной части вычитаемого, то дробную часть уменьшаемого делают неправильной дробью, заняв единицу в его целой части.
Чтобы найти сумму двух дробей с одинаковыми знаменателями, нужно сложить их числители, а знаменатель оставить прежним.
Чтобы найти разность двух дробей с одинаковыми знаменателями, нужно из числителя уменьшаемого вычесть числитель вычитаемого, а знаменатель оставить прежним.
№5.282 учебника 2021-2022 (стр. 49):

При сложении (вычитании) смешанных чисел нужно целые части сложить (вычесть) отдельно и дробные части тоже отдельно.
Если дробная часть уменьшаемого меньше дробной части вычитаемого, то дробную часть уменьшаемого делают неправильной дробью, заняв единицу в его целой части.
При вычитании из натурального числа дроби или смешанного числа поступают таким же образом.
Чтобы найти сумму двух дробей с одинаковыми знаменателями, нужно сложить их числители, а знаменатель оставить прежним.
Чтобы найти разность двух дробей с одинаковыми знаменателями, нужно из числителя уменьшаемого вычесть числитель вычитаемого, а знаменатель оставить прежним.
Чтобы неправильную дробь, числитель которой нацело не делится на знаменатель, преобразовать в смешанное число, надо числитель разделить на знаменатель; полученное неполное частное записать как целую часть смешанного числа, а остаток - как числитель его дробной части.
Вернуться к содержанию учебника