Вернуться к содержанию учебника
Выберите год учебника
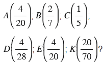
№5.109 учебника 2023-2024 (стр. 23):
Есть ли среди точек, отмеченных на координатной прямой, совпадающие:

№5.109 учебника 2021-2022 (стр. 23):
Есть ли среди точек, отмеченных на координатном луче, совпадающие:

№5.109 учебника 2023-2024 (стр. 23):
Вспомните:
№5.109 учебника 2021-2022 (стр. 23):
Вспомните:
Вернуться к содержанию учебника