Вернуться к содержанию учебника
Выберите год учебника
№3.98 учебника 2023-2026 (стр. 134):
В пачке творога массой 250 г содержится 41,7 г белка. Определите процентное отношение белка в твороге.
№3.98 учебника 2021-2022 (стр. 134):
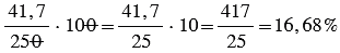
В пачке творога массой 250 г содержится 41,7 г белков. Определите процентное отношение белков в твороге.
№3.98 учебника 2023-2026 (стр. 134):
№3.98 учебника 2021-2022 (стр. 134):
Вспомните:
№3.98 учебника 2023-2026 (стр. 134):
№3.98 учебника 2021-2022 (стр. 134):

| - | 4 | 1 | 7 | 2 | 5 | ||||||||||||
| 2 | 5 | 1 | 6 | , | 6 | 8 | |||||||||||
| - | 1 | 6 | 7 | ||||||||||||||
| 1 | 5 | 0 | |||||||||||||||
| - | 1 | 7 | 0 | ||||||||||||||
| 1 | 5 | 0 | |||||||||||||||
| - | 2 | 0 | 0 | ||||||||||||||
| 2 | 0 | 0 | |||||||||||||||
| 0 |
Ответ: содержание белка в твороге составляет 16,68%.
Пояснения:
Частное
(
) двух чисел
и
называют отношением этих чисел. Отношение показывает, во сколько раз число
больше числа
, или какую часть число
составляет от числа
. Отношение не изменится, если его члены умножить или разделить на одно и то же число, не равное нулю (сократить).
Процентное отношение двух чисел - это их отношение, выраженное в процентах. Процентное отношение показывает, сколько процентов одно число составляет от другого. Чтобы найти процентное отношение двух чисел, надо их отношение умножить на 100 и к результату дописать знак процента.
Чтобы умножить дробное выражение на натуральное число, нужно его числитель умножить на это число, а знаменатель оставить без изменения. При выполнении умножения, чтобы вычисления были проще, не надо перемножать сразу, лучше сделать это после сокращения. Сократить дробь - значит, разделить ее числитель и знаменатель на одно и то же число (наибольший общий делитель).
Вернуться к содержанию учебника