Вернуться к содержанию учебника
Выберите год учебника
№578 учебника 2023-2026 (стр. 128):
На рисунке 81 построены графики функций
=
,
=
2,
=
3, где 
0. Пользуясь графиком, сравните:
а) 0,23 и 0,232; б) 1,47 и 1,472;
0,23 и 0,233; 1,47 и 1,473;
0,232 и 0,233; 1,472 и 1,473.
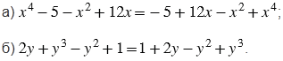
№578 учебника 2013-2022 (стр. 129):
Расположите члены многочлена по возрастающим степеням переменной:

№578 учебника 2023-2026 (стр. 128):
Вспомните:
№578 учебника 2013-2022 (стр. 129):
Вспомните:
Вернуться к содержанию учебника