Вернуться к содержанию учебника
Выберите год учебника
№440 учебника 2023-2026 (стр. 105):
Пусть
- произвольное число. Сравните с нулем значение выражения:

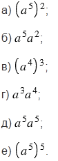
№440 учебника 2013-2022 (стр. 106):
Представьте в виде степени с основанием
выражение:

№440 учебника 2023-2026 (стр. 105):
Вспомните:
№440 учебника 2013-2022 (стр. 106):
Вспомните:
Вернуться к содержанию учебника