Вернуться к содержанию учебника
Вопросы и задачи на повторение. Вопросы. Страница 123
№В.7 учебника 2021-2022 (стр. 123):
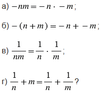
Справедливо ли утверждение для рациональных рациональных чисел
и
:

№В.7 учебника 2021-2022 (стр. 123):
Вспомните:
Вернуться к содержанию учебника