Задание 5.71 - ГДЗ Математика 6 класс. Виленкин, Жохов. Учебник часть 2. Страница 87

Старая и новая редакции

Вернуться к содержанию учебника

5.68 5.69 5.70 5.71 5.72 5.73 5.74

Вопрос

№5.71 учебника 2021-2022 (стр. 87):

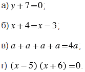
Найдите корень уравнения:

Подсказка

№5.71 учебника 2021-2022 (стр. 87):

Ответ

№5.71 учебника 2021-2022 (стр. 87):


Вернуться к содержанию учебника