Задание 5.45 - ГДЗ Математика 6 класс. Виленкин, Жохов. Учебник часть 2. Страница 83

Старая и новая редакции

Вернуться к содержанию учебника

5.42 5.43 5.44 5.45 5.46 5.47 5.48

Вопрос

№5.45 учебника 2021-2022 (стр. 83):

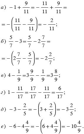
Выполните действие:

Подсказка

№5.45 учебника 2021-2022 (стр. 83):

Ответ

№5.45 учебника 2021-2022 (стр. 83):


Вернуться к содержанию учебника