Вернуться к содержанию учебника
№5.10 учебника 2021-2022 (стр. 78):
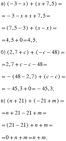
Запишите сумму выражений и упростите ее:

№5.10 учебника 2021-2022 (стр. 78):
Вспомните:
№5.10 учебника 2021-2022 (стр. 78):


Пояснения:
Чтобы записать сумму выражений, нужно каждое выражение взять в скобки и поставить между ними знак "+". Затем, раскрыв скобки, упростить полученное выражение.
При раскрытии скобок помним:
Затем применяем переместительное и сочетательное свойства сложения, то есть группируем слагаемые так, чтобы можно было упростить выражение. Учитываем то, что сумма противоположных чисел равна нулю (противоположные числа отличаются только знаками).
Вернуться к содержанию учебника