Задание 4.24 - ГДЗ Математика 6 класс. Виленкин, Жохов. Учебник часть 2. Страница 12

Старая и новая редакции

Вернуться к содержанию учебника

4.21 4.22 4.23 4.24 4.25 4.26 4.27

Вопрос

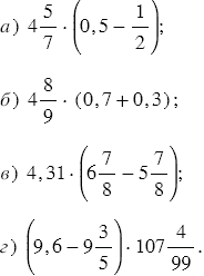
№4.24 учебника 2021-2022 (стр. 12):

Найдите значение выражения:

Подсказка

Ответ

№4.24 учебника 2021-2022 (стр. 12):


Пояснения:

При решении задания помним, что, чтобы обыкновенную дробь преобразовать в десятичную, можно числитель разделить на знаменатель.


Вернуться к содержанию учебника