Вернуться к содержанию учебника
№4.282 учебника 2023-2024 (стр. 53):
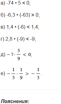
Какой знак, < или >, надо поставить вместо знака вопроса, чтобы получилось верное неравенство:
а) -74 • 5 ? 0;
б) -6,3 • (-63) ? 0;
в) 1,4 • (-6) ? 1,4;
г) 2,8 • (-9) ? -9;

№4.282 учебника 2023-2024 (стр. 53):
Вспомните:
Вернуться к содержанию учебника