Вернуться к содержанию учебника
Вопросы и задачи на повторение. Задачи. Страница 151
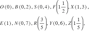
№П.92 учебника 2021-2022 (стр. 151):
На координатном луче отметьте точки

если за единичный отрезок принято 20 клеток.
№П.92 учебника 2021-2022 (стр. 151):
Вспомните:
Вернуться к содержанию учебника