Вернуться к содержанию учебника
Проверьте себя
Проверочная работа
1. Сократите дроби

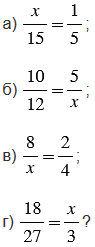
2. Какое число можно записать вместо
, чтобы стало верным равенство:

3. Какую часть часа составляют 3 мин, 5 мин, 15 мин, 25 мин? Ответ запишите в виде несократимой дроби.
4. Какую дробь сократили:
а) на 10, если получили
;
б) на 9, если получили
?
Вспомните:




Пояснения:
При выполнении преобразований с дробями опираемся на основное свойство дроби:
если числитель и знаменатель дроби умножить или разделить на одно и то же натуральное число, то получится дробь равная данной.
Сокращение дроби - это деление числителя и знаменателя данной дроби на их общий делитель, отличный от 1. Если сократить дробь на наибольший общий делитель числителя и знаменателя, то получится несократимая дробь.
Знаменатель дроби (нижнее число) показывает на сколько равных частей (долей) разделили целое, а числитель (верхнее число) - сколько таких долей взяли. Тогда, чтобы узнать, какую часть часа составляет некоторое количество минут, нужно составить обыкновенную дробь, у которой в числителе стоит данное количество минут, а в знаменателе 60, так как 1 ч = 60 мин, затем, если возможно, сократить полученную дробь.
Вернуться к содержанию учебника