Вернуться к содержанию учебника
Проверьте себя
Проверочная работа
1. Запишите:
а) дробь, у которой числитель равен 2, а знаменатель равен 3;
б) в виде дроби частное чисел 5 и 7;
в) в виде дроби со знаменателем 5 число 7;
г) в виде дроби со знаменателем 7 число 5.
2. Запишите:
а) Наибольшую правильную дробь со знаменателем 7;
б) наименьшую неправильную дробь со знаменателем 4.
3. Уменьшится или увеличится дробь, если:
а) к числителю дроби прибавить единицу;
б) к знаменателю дроби прибавить единицу?
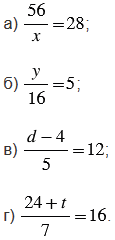
4. Решите уравнение:

5. Поле занимает площадь 5 га. Оно разбито на 6 равных участков. Сколько гектаров занимает каждый участок?
Вспомните:
Вернуться к содержанию учебника