Вернуться к содержанию рабочей тетради
114. В книге было 13 сказок. После того как Юля прочитала несколько сказок, ей осталось прочитать ещё 6 сказок. Сколько сказок Юля уже прочитала?
Составь устно 2 задачи, обратные данной, и реши их.
Повтори, что такое обратные задачи.
13 - 6 = 7 (ск.)
Отвез: 7 сказок.
В книге было 13 сказок. Юля прочитала 7 сказок. Сколько сказок осталось прочитать Юле?
13 - 7 = 6 (ск.)
Ответ: 6 сказок.
После того как Юля прочитала 7 сказок, ей осталось прочитать ещё 6 сказок. Сколько сказок было в книге?
7 + 6 = 13 (ск.)
Ответ: 13 сказок.
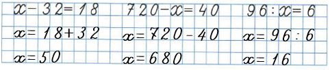
115. Реши уравнения.

Повтори, как решать уравнения.
Решение

Пояснение
1. Чтобы найти уменьшаемое, нужно к вычитаемому прибавить разность:
32 + 18 = 50
Проверка:
50 - 32 = 18
18 = 18
2. Чтобы найти вычитаемое, нужно из уменьшаемого вычесть разность:
720 - 40 = 680
Проверка:
720 - 680 = 40
40 = 40
3. Чтобы найти делитель, нужно делимое разделить на частное:
96 : 6 = 16
Проверка:
96 : 16 = 6
6 = 6
116. Шесть одинаковых пачек печенья стоят 72 р. Сколько таких пачек печенья можно купить на 96 р.?
Сколько рублей надо заплатить за 4 такие пачки печенья?
Решение
96 : (72 : 6) = 8 (п.)
Ответ: 8 пачек.
(72 : 6) • 4 = 48 (р.)
Ответ: 48 р.
Пояснение

Шесть одинаковых пачек печенья стоят 72 р. Вычислим, сколько стоит одна пачка:
72 : 6 = 12 (р.)
Если одна пачка стоит 12 р., узнаем, сколько пачек печенья можно купить на 96 р.:
96 : 12 = 8 (п.)
Можно составить выражение: 96 : (72 : 6).
Одна пачка печенья стоит (72 : 6) р. Вычислим, сколько стоят 4 такие пачки печенья:
(72 : 6) • 4 = 12 • 4 = 48 (р.)
117.
| Делимое | 540 | 120 | 96 | |||
| Делитель | 9 | 7 | 4 | 20 | 13 | |
| Частное | 8 | 16 | 6 | 8 |
Повтори компоненты деления.
Решение
| Делимое | 540 | 56 | 64 | 120 | 78 | 96 |
| Делитель | 9 | 7 | 4 | 20 | 13 | 12 |
| Частное | 60 | 8 | 16 | 6 | 6 | 8 |
Пояснение
Чтобы найти частное, нужно делимое разделить на делитель:
540 : 9 = 60;
120 : 20 = 6.
Чтобы найти делимое, нужно частное умножить на делитель:
7 • 8 = 56;
16 • 4 = 64;
13 • 6 = 78.
Чтобы найти делитель, нужно делимое разделить на частное:
96 : 8 = 12.
Вернуться к содержанию рабочей тетради