Вернуться к содержанию рабочей тетради
122. Раскрась фигуры так, чтобы следующие высказывания стали верными для данного рисунка.

1. Все фигуры зелёного цвета имеют одинаковую площадь.
2. Все фигуры жёлтого цвета имеют одинаковый периметр.
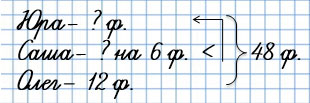
123. Саша, Юра и Олег вместе сделали для новогодних гирлянд 48 бумажных фонариков. Олег сделал 12 фонариков. Сколько фонариков сделал Саша, если он сделал на 6 фонариков меньше, чем Юра?
Устно дай пояснение к каждому действию и закончи решение задачи.
Проверь полученный ответ.
Используя решение задачи, построй на клетчатой бумаге диаграмму количества фонариков, сделанных каждым мальчиков. Масштаб выбери самостоятельно.
Решение

Проверка: 15 + (15 + 6) + 12 = 15 + 21 + 12 = 48 (ф.)

Пояснение

Саша, Юра и Олег вместе сделали 48 бумажных фонариков. Олег сделал 12 фонариков, значит остальные сделали Саша и Юра. Вычислим, сколько фонариков сделали Саша и Юра:
1) 48 - 12 = 36 (ф.)
Саша сделал на 6 фонариков меньше, чем Юра. Вычтем эту разницу и узнаем, сколько фонариков они сделали вдвоём поровну:
2) 36 - 6 = 30 (ф.)
Юра и Саша поровну сделали 30 фонариков. Узнаем, сколько фонариков сделал Саша:
3) 30 : 2 = 15 (ф.)
Вернуться к содержанию рабочей тетради