Вернуться к содержанию учебника
№5.223 учебника 2023-2024 (стр. 39):
№5.223 учебника 2021-2022 (стр. 39):
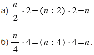
Что получится, если:
а) удвоить половину числа
;
б) увеличить в 4 раза четверть числа
?
№5.223 учебника 2023-2024 (стр. 39):
№5.223 учебника 2021-2022 (стр. 39):
Вспомните:
№5.223 учебника 2023-2024 (стр. 39):
№5.223 учебника 2021-2022 (стр. 39):

Пояснения:
Нам известно, что долю
называют половиной,
- четвертью. Черта дроби обозначает действие деление, следовательно, если что-то целое разделить на 2, мы получим половины, а если на 4 - четверти.
Удвоить, значит, умножить на 2, то есть если нам надо удвоить половину числа, то сначала мы делим - это число на 2, чтобы найти его половину, а затем умножаем на 2, то есть в итоге мы получаем само число, аналогично, если увеличить в 4 раза четверть числа, получится само это число.
Вернуться к содержанию учебника