Вернуться к содержанию учебника
№3.90 учебника 2023-2024 (стр. 134):
№3.90 учебника 2021-2022 (стр. 134):
1) В каждой партии из 1500 фонариков в среднем 18 фонариков бракованные. Какой процент всей партии составляют исправные фонарики?
2) В партии на 1200 шариковых ручек приходится 15 ручек, которые не пишут. Какой процент от всей партии составляют пишущие ручки?
№3.90 учебника 2023-2024 (стр. 134):
№3.90 учебника 2021-2022 (стр. 134):
Вспомните:
№3.90 учебника 2023-2024 (стр. 134):
№3.90 учебника 2021-2022 (стр. 134):
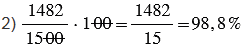
1) 1) 1500 - 18 = 1482 (ф.) - исправные фонарики.

| - | 1 | 4 | 8 | 2 | 1 | 5 | |||||||||||
| 1 | 3 | 5 | 9 | 8 | , | 8 | |||||||||||
| - | 1 | 3 | 2 | ||||||||||||||
| 1 | 2 | 0 | |||||||||||||||
| - | 1 | 2 | 0 | ||||||||||||||
| 1 | 2 | 0 | |||||||||||||||
| 0 |
Ответ: 98,8% всей партии составляют исправные фонарики.
2) 1) 1200 - 15 = 1185 (р.) - пишущие.

| - | 1 | 1 | 8 | 5 | 1 | 2 | ||||||||||||
| 1 | 0 | 8 | 9 | 8 | , | 7 | 5 | |||||||||||
| - | 1 | 0 | 5 | |||||||||||||||
| 9 | 6 | |||||||||||||||||
| - | 9 | 0 | ||||||||||||||||
| 8 | 4 | |||||||||||||||||
| - | 6 | 0 | ||||||||||||||||
| 6 | 0 | |||||||||||||||||
| 0 |
Ответ: 98,76% от всей партии составляют пишущие ручки.
Пояснения:
Частное
(
) двух чисел
и
называют отношением этих чисел. Отношение показывает, во сколько раз число
больше числа
, или какую часть число
составляет от числа
. Отношение не изменится, если его члены умножить или разделить на одно и то же число, не равное нулю (сократить).
Процентное отношение двух чисел - это их отношение, выраженное в процентах. Процентное отношение показывает, сколько процентов одно число составляет от другого. Чтобы найти процентное отношение двух чисел, надо их отношение умножить на 100 и к результату дописать знак процента.
Чтобы умножить обыкновенную дробь на натуральное число, нужно ее числитель умножить на это число, а знаменатель оставить без изменения. При выполнении умножения, чтобы вычисления были проще, не надо перемножать сразу, лучше сделать это после сокращения. Сократить дробь - значит, разделить ее числитель и знаменатель на одно и то же число (наибольший общий делитель).
Вернуться к содержанию учебника