Вернуться к содержанию рабочей тетради
4. 1) Заполни окошки нужными числами и закончи вычисления.

2) Вычисли.

Повтори, как умножать на круглое число.
Выберите год рабочей тетради
Стр. 12 рабочей тетради 2023-2026:
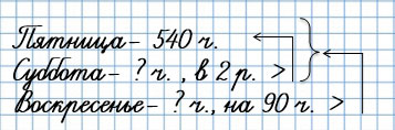
5. В пятницу на каруселях в парке каталось 540 человек, в субботу - в 2 раза больше, чем в пятницу, а в воскресенье - на 90 человек больше, чем в пятницу и субботу вместе. Сколько человек каталось на каруселях в воскресенье?
Реши задачу по действиям.
Используя решение задачи, построй на клетчатой бумаге диаграмму количества человек, которые катались на каруселях. Масштаб выбери самостоятельно.
Стр. 12 рабочей тетради 2011-2022:
5. В пятницу на каруселях в парке каталось 540 человек, в субботу - в 2 раза больше, чем в пятницу, а в воскресенье - на 90 человек больше, чем в пятницу и субботу вместе. Сколько человек каталось на каруселях в воскресенье?
Реши задачу по действиям с краткими пояснениями.
Используя решение задачи, построй на клетчатой бумаге диаграмму количества человек, которые катались на каруселях в пятницу, в субботу и в воскресенье. Масштаб выбери самостоятельно.
Решение
1) 540 • 2 = 1080 (ч.) - в субботу.
2) 1080 + 540 = 1620 (ч.) - в пятницу и субботу вместе.
| + | 1 | 0 | 8 | 0 |
| 5 | 4 | 0 | ||
| 1 | 6 | 2 | 0 |
3) 1620 + 90 = 1710 (ч.)
| + | 1 | 6 | 2 | 0 |
| 9 | 0 | |||
| 1 | 7 | 1 | 0 |
Ответ: 1710 человек катались на каруселях в воскресенье.

Пояснение

В пятницу - 540 человек, в субботу - 1080 человек, в воскресенье - 1710 человек. Каждое из этих чисел делится на 90 без остатка. Пусть 1 клетка = 90 человек.
540 : 90 = 6 (кл.)
1080 : 90 = 12 (кл.)
1710 : 90 = 19 (кл.)
Вернуться к содержанию рабочей тетради