Задание 4.216 - ГДЗ Математика 6 класс. Виленкин, Жохов. Учебник часть 2. Страница 44

Старая и новая редакции

Вернуться к содержанию учебника

4.213 4.214 4.215 4.216 4.217 4.218 4.219

Вопрос

№4.216 учебника 2021-2022 (стр. 44):

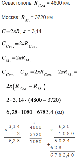
Москва расположена на параллели 560 с. ш., а Севастополь - на параллели 440 с. ш. (рис. 43). На сколько параллель Севастополя длиннее параллели Москвы, если их радиусы соответственно равны 4800 км и 3720 км?

Подсказка

№4.216 учебника 2021-2022 (стр. 44):

Вспомните:

  1. Как найти длину окружности.
  2. Умножение десятичных дробей.
  3. Вычитание десятичных дробей.
  4. Свойства умножения.

Ответ

№4.216 учебника 2021-2022 (стр. 44):


Вернуться к содержанию учебника