Задание 4.69 - ГДЗ Математика 6 класс. Виленкин, Жохов. Учебник часть 2. Страница 21

Старая и новая редакции

Вернуться к содержанию учебника

4.66 4.67 4.68 4.69 4.70 4.71 4.72

Вопрос

№4.69 учебника 2021-2022 (стр. 21):

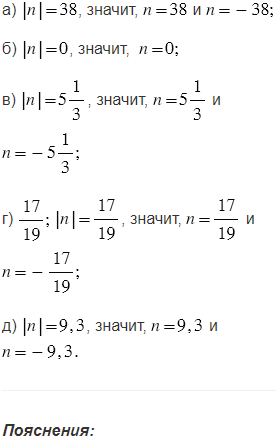
Найдите все числа, модуль которых равен:

а) 38;

б) 0;

в)

г)

д) 9,3.

Подсказка

№4.69 учебника 2021-2022 (стр. 21):

Ответ

№4.69 учебника 2021-2022 (стр. 21):


Вернуться к содержанию учебника