Задание 4.64 - ГДЗ Математика 6 класс. Виленкин, Жохов. Учебник часть 2. Страница 20

Старая и новая редакции

Вернуться к содержанию учебника

4.61 4.62 4.63 4.64 4.65 4.66 4.67

Вопрос

№4.64 учебника 2021-2022 (стр. 20):

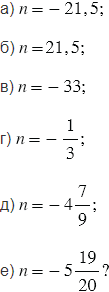
Чему равно значение  , если:

Подсказка

Ответ

№4.64 учебника 2021-2022 (стр. 20):


Вернуться к содержанию учебника