Задание 4.71 - ГДЗ Математика 6 класс. Виленкин, Жохов. Учебник часть 2. Страница 21

Старая и новая редакции

Вернуться к содержанию учебника

4.68 4.69 4.70 4.71 4.72 4.73 4.74

Вопрос

№4.71 учебника 2021-2022 (стр. 21):

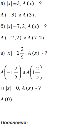
Запишите координаты точки А(), если:

Подсказка

№4.71 учебника 2021-2022 (стр. 21):

Вспомните:

  1. Положение точек на координатной прямой.
  2. Модуль числа.

Ответ

№4.71 учебника 2021-2022 (стр. 21):


Вернуться к содержанию учебника