Вернуться к содержанию учебника
№5.45 учебника 2023-2026 (стр. 83):
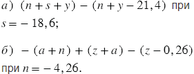
Найдите значение выражения:

№5.45 учебника 2023-2026 (стр. 83):
№5.45 учебника 2023-2026 (стр. 83):

Пояснения:
При раскрытие скобок помним, что:
Правила, по которым выполнены вычисления, смотрите в подсказке.
Вернуться к содержанию учебника