Задание 5.5 - ГДЗ Математика 6 класс. Виленкин, Жохов. Учебник часть 2. Страница 78

Старая и новая редакции

Вернуться к содержанию учебника

5.2 5.3 5.4 5.5 5.6 5.7 5.8

Вопрос

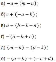
№5.5 учебника 2023-2026 (стр. 78):

Раскройте скобки:

Подсказка

№5.5 учебника 2023-2026 (стр. 78):

Вспомните:

  1. Раскрытие скобок.
  2. Положительные и отрицательные числа (противоположные числа).

Ответ

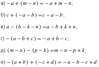
№5.5 учебника 2023-2026 (стр. 78):


Пояснения:

При раскрытии скобок помним:

  • если перед скобками стоит знак "плюс", то можно опустить скобки и этот знак "плюс", сохранив знаки слагаемых, стоящих в скобках. Если первое слагаемое в скобках записано без знака, то его надо записать со знаком "плюс";
  • если перед скобками стоит знак "минус", то скобки и знак "минус" можно опустить, изменив знак каждого слагаемого в скобках на противоположный.

Вернуться к содержанию учебника