Вернуться к содержанию учебника
№4.230 учебника 2023-2024 (стр. 47):
Проверьте равенство n - (-m) = n + m при:
а) n = 21, m = 32;
б) n = 17, m = -3;
в) n = -4,2, m = -0,9;
г) n = -3,6, m = 7,8;

№4.230 учебника 2023-2024 (стр. 47):
Вспомните:
№4.230 учебника 2023-2024 (стр. 47):
n - (-m) = n + m
а) n = 21, m = 32
n - (-m) = 21 - (-32) = 21 + 32 = 53,
n + m = 21 + 32 = 53,
53 = 53 - верно.
б) n = 17, m = -3
n - (-m) = 17 - (-(-3)) = 17 - 3 = 14,
n + m = 17 + (-3) = 17 - 3 = 14
14 = 14 - верно.
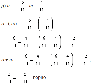
в) n = -4,2, m = -0,9
n - (-m) = -4,2 - (-(-0,9)) = -4,2 - 0,9 =
= -4,2 + (-0,9) = -(4,2 + 0,9) = -5,1,
n + m = -4,2 + (-0,9) = -(4,2 + 0,9) = -5,1,
-5,1 = -5,1 - верно.
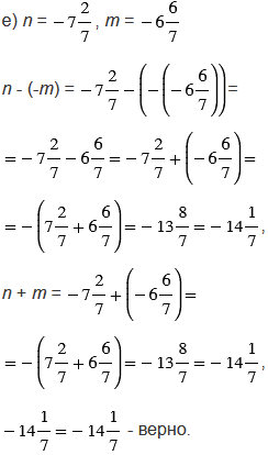
г) n = -3,6, m = 7,8
n - (-m) = -3,6 - (-7,8) = -3,6 + 7,8 =
= 7,8 - 3,6 = 4,2,
n + m = -3,6 + 7,8 = 7,8 - 3,6 = 4,2.
4,2 = 4,2 - верно.


Пояснения:
Чтобы из данного числа вычесть другое, надо к уменьшаемому прибавить число, противоположное вычитаемому. Противоположные числа отличаются только знаками.
Чтобы сложить два числа с разными знаками, надо: найти модули слагаемых (модуль числа принимает только неотрицательные значения); из большего модуля вычесть меньший модуль; перед полученным числом поставить знак слагаемого с большим модулем (обычно сначала определяют и записывают знак суммы, а потом в скобках находят разность модулей, если сумма в итоге получается положительной, то скобки можно не ставить).
Чтобы сложить два отрицательных числа, надо: найти модули слагаемых (модуль числа принимает только неотрицательные значения); сложить модули слагаемых; перед полученным числом поставить знак " - " (обычно знак минус выносят за скобки и в скобках находят сумму модулей).
Вернуться к содержанию учебника