Вернуться к содержанию рабочей тетради
Вопрос

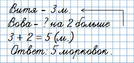
Витя вылепил
, Вова - на 2 больше.
Сколько морковок вылепил Вова?

Ответ
Решение
3 + 2 = 5 (м.)
Ответ: 5 морковок.
Пояснение

На 2 больше. Сложение. Знак плюс.
Вопрос
Было 10 к.
Вынули 8 карандашей. Сколько ...?

Подсказка
Перед решением задачи повтори состав числа 10.
Ответ
Решение
Составим задачу: В коробке было 10 карандашей. Из неё вынули 8 карандашей. Сколько карандашей осталось в коробке?
Решаем задачу:
10 - 8 = 2 (к.)
Ответ: 2 карандаша.
Пояснение

Сколько осталось? Из большего числа вычитаем меньшее. Вычитание. Знак минус.
Вопрос

 |
10 - = 2
10 - = 6
10 - = 7
10 - = 9
|
 |
9 - = 5
9 - = 6
9 - = 7
9 - = 8
|
Подсказка
Перед решением задачи повтори состав числа 10.
Ответ
Решение
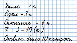
Составляем задачу: Когда Вася взял из коробки 3 конфеты, в ней осталось ещё 7. Сколько конфет было в коробке сначала?
Решаем задачу:
7 + 3 = 10 (к.)
Ответ: 10 конфет.
Пояснение

Сколько всего? Сложение. Знак плюс.
Вопрос

|
3 + 5 = 8
8 - 5 = 
8 - 3 = 
|
6 + 4 = 
10 - 4 = 
10 - = 
|
7 + 1 = 
8 - 1 = 
8 - = 
|
Ответ
Решение
|
3 + 5 = 8
8 - 5 = 3
8 - 3 = 5
|
6 + 4 = 10
10 - 4 = 6
10 - 6 = 4
|
7 + 1 = 8
8 - 1 = 7
8 - 7 = 1
|
Пояснение
К любому примеру на сложение можно составить два примера на вычитание.
Вернуться к содержанию рабочей тетради