Страница 11 - ГДЗ Математика 1 класс. Моро, Волкова. Рабочая тетрадь часть 2

Старая и новая редакции

Вернуться к содержанию рабочей тетради

8 9 10 11 12 13 14

Вопрос

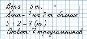
У Веры .

    У Лены на 2 больше.

   Сколько треугольников у Лены?

Подсказка

В нашем справочнике повтори тему "Больше. Меньше".

Ответ

Решение

5 + 2 = 7 (т.)

Ответ: 7 треугольников.


Пояснение

На 2 больше. Сложение. Знак плюс.

8 9 10 11 12 13 14

Вопрос

Подсказка

Повтори состав числа 7 и состав числа 8.

На левой части домино первое слагаемое, на правой - второе.

Ответ

Решение


Пояснение

Из каждого примера на сложение можно составить 2 примера на вычитание. Сначала из суммы вычесть первое слагаемое, а во втором примере из суммы вычесть второе слагаемое

8 9 10 11 12 13 14

Вопрос

Подсказка

В нашем справочнике повтори материал о треугольниках, не забудь про сантиметр.

Ответ

Решение


Пояснение

5 - это 3 и 2, значит,

5 > 3

8 9 10 11 12 13 14

Вопрос

У Миши  У Коли 

На сколько больше рыбок у Миши, чем у Коли?

Подсказка

В нашем справочнике повтори тему "На сколько больше?".

Ответ

Решение

4 - 3 = 1 (р.)

Ответ: на 1 рыбку больше.


Пояснение

На сколько больше? Сравниваем числа 4 и 3. Вычитание. Знак минус.

8 9 10 11 12 13 14

Вопрос

Подсказка

В нашем справочнике повтори состав числа 7 и состав числа 9.

Ответ

Решение


Пояснение

В пустую клеточку добавь число, которое нужно прибавить, чтобы получить 7 и 9.

7 - это 2 и 5

7 - это 4 и 3

7 - это 1 и 6

7 - это 3 и 4

9 - это 2 и 7

9 - это 4 и 5

9 - это 3 и 6

9 - это 1 и 8

8 9 10 11 12 13 14

Вернуться к содержанию рабочей тетради