Вернуться к содержанию рабочей тетради
Слагаемые 7 и 3. Вычисли сумму: 
Уменьшаемое — 9, вычитаемое — 4.
Вычисли разность: 
В нашем справочнике повтори, как называются числа при сложении и вычитании.

| Уменьши на 4: | Увеличь на 6: |
![]() |
![]() |
В нашем справочнике повтори состав чисел от 1 до 10.

7 1 > 6 |
8 2 < 7 |
10 - 3 = 7 |
В нашем справочнике повтори тему "Знаки".
Решение

Пояснение
7
1 > 6
Рассуждай так: если из 7 вычесть 1, получится 6, а нам нужно, чтобы результат был БОЛЬШЕ 6, значит, к 7 нужно прибавить 1. Получим 8.
8 > 6
8
2 < 7
Рассуждай так: в условии знак меньше, а 8 больше 7, значит, чтобы левая сторона неравенства была меньше, чем правая, нужно из 8 вычесть 2. Получим 6.
6 < 7
10
3 = 7
Рассуждай так: 10 без 3 - это 7
7 = 7


В нашем справочнике повтори, как называются числа при сложении. Вспомни состав чисел от 1 до 10.

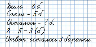
На тарелке было 8 баранок. Съели 5 баранок. Сколько баранок осталось?

Мама положила на тарелку ещё 6 баранок. Сколько баранок стало на тарелке?

В нашем справочнике повтори материал о сложении и вычитании.

7 - = 5 |
5 - = 3 |
- 4 = 4 |
6 - = 4 |
4 - = 2 |
- 8 = 0 |
В нашем справочнике повтори состав чисел от 1 до 10, вспомни, как называются числа при вычитании и как находить неизвестное вычитаемое и уменьшаемое.
Решение

Пояснение
1) Чтобы найти неизвестное вычитаемое, нужно из уменьшаемого вычесть разность.
2) Чтобы найти неизвестное уменьшаемое, нужно к разности прибавить вычитаемое.
|
7 - находим 7 - 5 = 2 7 - 2 = 5 |
5 - находим 5 - 3 = 2 5 - 2 = 3 |
находим 4 + 4 = 8 8 - 4 = 4 |
|
6 - находим 6 - 4 = 2 6 - 2 = 4 |
4 - находим 4 - 2 = 2 4 - 2 = 2 |
находим 0 + 8 = 8 8 - 8 = 0 |
Вернуться к содержанию рабочей тетради